setwd("c:/ADP/data")
BlackFriday <- read.csv("BlackFriday.csv")
str(BlackFriday)
# 'data.frame': 537577 obs. of 12 variables:
# $ User_ID : int 1000001 1000001 1000001 1000001 1000002 1000003 1000004 1000004 1000004 1000005 ...
# $ Product_ID : chr "P00069042" "P00248942" "P00087842" "P00085442" ...
# $ Gender : chr "F" "F" "F" "F" ...
# $ Age : chr "0-17" "0-17" "0-17" "0-17" ...
# $ Occupation : int 10 10 10 10 16 15 7 7 7 20 ...
# $ City_Category : chr "A" "A" "A" "A" ...
# $ Stay_In_Current_City_Years: chr "2" "2" "2" "2" ...
# $ Marital_Status : int 0 0 0 0 0 0 1 1 1 1 ...
# $ Product_Category_1 : int 3 1 12 12 8 1 1 1 1 8 ...
# $ Product_Category_2 : int NA 6 NA 14 NA 2 8 15 16 NA ...
# $ Product_Category_3 : int NA 14 NA NA NA NA 17 NA NA NA ...
# $ Purchase : int 8370 15200 1422 1057 7969 15227 19215 15854 15686 7871 ...
# 모든 컬럼에 있는 NA 개수를 구해준다.
# product_Category_2, product_Category_3에 NA가 존재
colSums(is.na(BlackFriday))
# User_ID Product_ID Gender Age
# 0 0 0 0
# Occupation City_Category Stay_In_Current_City_Years Marital_Status
# 0 0 0 0
# Product_Category_1 Product_Category_2 Product_Category_3 Purchase
# 0 166986 373299 0
# 결측치 대체
# ifelse를 통해 결측치 NA값을 0으로 대체한다.
BlackFriday$Product_Category_2 <- ifelse(is.na(BlackFriday$Product_Category_2)==TRUE, 0, BlackFriday$Product_Category_2)
BlackFriday$Product_Category_3 <- ifelse(is.na(BlackFriday$Product_Category_3)==TRUE, 0, BlackFriday$Product_Category_3)
# summary 함수를 통해 확인한 결과 NA 값이 없음을 알 수 있다.
summary(BlackFriday)
# User_ID Product_ID Gender Age Occupation City_Category Stay_In_Current_City_Years Marital_Status Product_Category_1 Product_Category_2 Product_Category_3
# Min. :1000001 Length:537577 Length:537577 Length:537577 Min. : 0.000 Length:537577 Length:537577 Min. :0.0000 Min. : 1.000 Min. : 0.000 Min. : 0.000
# 1st Qu.:1001495 Class :character Class :character Class :character 1st Qu.: 2.000 Class :character Class :character 1st Qu.:0.0000 1st Qu.: 1.000 1st Qu.: 0.000 1st Qu.: 0.000
# Median :1003031 Mode :character Mode :character Mode :character Median : 7.000 Mode :character Mode :character Median :0.0000 Median : 5.000 Median : 5.000 Median : 0.000
# Mean :1002992 Mean : 8.083 Mean :0.4088 Mean : 5.296 Mean : 6.785 Mean : 3.872
# 3rd Qu.:1004417 3rd Qu.:14.000 3rd Qu.:1.0000 3rd Qu.: 8.000 3rd Qu.:14.000 3rd Qu.: 8.000
# Max. :1006040 Max. :20.000 Max. :1.0000 Max. :18.000 Max. :18.000 Max. :18.000
# Purchase
# Min. : 185
# 1st Qu.: 5866
# Median : 8062
# Mean : 9334
# 3rd Qu.:12073
# Max. :23961
# product_all 변수를 추가한다.
# 문제에 주어진 특정변수 데이터 타입을 확인한 뒤, 적절한 타입으로 변환한다.
BlackFriday<-transform(BlackFriday, product_all=Product_Category_1 + Product_Category_2 + Product_Category_3)
# 데이터 형태 변환
BlackFriday$User_ID<-as.character(BlackFriday$User_ID)
BlackFriday$Occupation<-as.factor(BlackFriday$Occupation)
BlackFriday$Marital_Status<-as.factor(BlackFriday$Marital_Status)
BlackFriday$Product_Category_1<-as.factor(BlackFriday$Product_Category_1)
BlackFriday$Product_Category_2<-as.factor(BlackFriday$Product_Category_2)
BlackFriday$Product_Category_3<-as.factor(BlackFriday$Product_Category_3)
str(BlackFriday)
# 'data.frame': 537577 obs. of 13 variables:
# $ User_ID : chr "1000001" "1000001" "1000001" "1000001" ...
# $ Product_ID : chr "P00069042" "P00248942" "P00087842" "P00085442" ...
# $ Gender : chr "F" "F" "F" "F" ...
# $ Age : chr "0-17" "0-17" "0-17" "0-17" ...
# $ Occupation : Factor w/ 21 levels "0","1","2","3",..: 11 11 11 11 17 16 8 8 8 21 ...
# $ City_Category : chr "A" "A" "A" "A" ...
# $ Stay_In_Current_City_Years: chr "2" "2" "2" "2" ...
# $ Marital_Status : Factor w/ 2 levels "0","1": 1 1 1 1 1 1 2 2 2 2 ...
# $ Product_Category_1 : Factor w/ 18 levels "1","2","3","4",..: 3 1 12 12 8 1 1 1 1 8 ...
# $ Product_Category_2 : Factor w/ 18 levels "0","2","3","4",..: 1 6 1 14 1 2 8 15 16 1 ...
# $ Product_Category_3 : Factor w/ 16 levels "0","3","4","5",..: 1 12 1 1 1 1 15 1 1 1 ...
# $ Purchase : int 8370 15200 1422 1057 7969 15227 19215 15854 15686 7871 ...
# $ product_all : num 3 21 12 26 8 3 26 16 17 8 ...
# 더미화를 위해 해당 변수에 대해 수치화한 후, caret 패키지의 dummyVars를 활용하여 더미화를 진행한다.
# 더미 변수화(Gender, Age, City_Category, Stay_In_Current_City_Years)
# 더미화를 위해 해당 변수 수치화
install.packages(c("caret","dplyr"))
library(caret)
library(dplyr)
# mutate 는 데이터프레임에 조건을 만족하는 새로운 열(변수)를 만들거나,
# 기존의 열을 조건에 맞게 변경할 때 사용합니다.
# 단, 새로 생성된 칼럼은 별도의 변수로 지정하거나 기존의 데이터에 덮어씌우지 않는 한 저장되지 않습니다.
BlackFriday_1 <- BlackFriday %>% mutate(Gender_binary = as.numeric(Gender),
Age_binary = as.numeric(Age),
City_Category_numeric = as.numeric(City_Category),
Stay_In_Current_City_Years_numeric = as.numeric(Stay_In_Current_City_Years))
dummy <- dummyVars("~ Gender + Age + City_Category + Stay_In_Current_City_Years", data = BlackFriday)
new_df <- data.frame(predict(dummy,newdata=BlackFriday))
BlackFriday_2<-cbind(BlackFriday,new_df)
str(BlackFriday_2)
# 'data.frame': 537577 obs. of 30 variables:
# $ User_ID : chr "1000001" "1000001" "1000001" "1000001" ...
# $ Product_ID : chr "P00069042" "P00248942" "P00087842" "P00085442" ...
# $ Gender : chr "F" "F" "F" "F" ...
# $ Age : chr "0-17" "0-17" "0-17" "0-17" ...
# $ Occupation : Factor w/ 21 levels "0","1","2","3",..: 11 11 11 11 17 16 8 8 8 21 ...
# $ City_Category : chr "A" "A" "A" "A" ...
# $ Stay_In_Current_City_Years : chr "2" "2" "2" "2" ...
# $ Marital_Status : Factor w/ 2 levels "0","1": 1 1 1 1 1 1 2 2 2 2 ...
# $ Product_Category_1 : Factor w/ 18 levels "1","2","3","4",..: 3 1 12 12 8 1 1 1 1 8 ...
# $ Product_Category_2 : Factor w/ 18 levels "0","2","3","4",..: 1 6 1 14 1 2 8 15 16 1 ...
# $ Product_Category_3 : Factor w/ 16 levels "0","3","4","5",..: 1 12 1 1 1 1 15 1 1 1 ...
# $ Purchase : int 8370 15200 1422 1057 7969 15227 19215 15854 15686 7871 ...
# $ product_all : num 3 21 12 26 8 3 26 16 17 8 ...
# $ GenderF : num 1 1 1 1 0 0 0 0 0 0 ...
# $ GenderM : num 0 0 0 0 1 1 1 1 1 1 ...
# $ Age0.17 : num 1 1 1 1 0 0 0 0 0 0 ...
# $ Age18.25 : num 0 0 0 0 0 0 0 0 0 0 ...
# $ Age26.35 : num 0 0 0 0 0 1 0 0 0 1 ...
# $ Age36.45 : num 0 0 0 0 0 0 0 0 0 0 ...
# $ Age46.50 : num 0 0 0 0 0 0 1 1 1 0 ...
# $ Age51.55 : num 0 0 0 0 0 0 0 0 0 0 ...
# $ Age55. : num 0 0 0 0 1 0 0 0 0 0 ...
# $ City_CategoryA : num 1 1 1 1 0 1 0 0 0 1 ...
# $ City_CategoryB : num 0 0 0 0 0 0 1 1 1 0 ...
# $ City_CategoryC : num 0 0 0 0 1 0 0 0 0 0 ...
# $ Stay_In_Current_City_Years0 : num 0 0 0 0 0 0 0 0 0 0 ...
# $ Stay_In_Current_City_Years1 : num 0 0 0 0 0 0 0 0 0 1 ...
# $ Stay_In_Current_City_Years2 : num 1 1 1 1 0 0 1 1 1 0 ...
# $ Stay_In_Current_City_Years3 : num 0 0 0 0 0 1 0 0 0 0 ...
# $ Stay_In_Current_City_Years4.: num 0 0 0 0 1 0 0 0 0 0 ...
# 특정변수 제외
BlackFriday_cluster <- BlackFriday_2 %>% select(-User_ID,
-Product_ID,
-Gender,
-Age,
-City_Category,
-Stay_In_Current_City_Years,
-product_all)
str(BlackFriday_cluster)
# 범주형 변수를 수치형 변수로 변환한다.
BlackFriday_cluster$Occupation<-as.numeric(BlackFriday_cluster$Occupation)
BlackFriday_cluster$Marital_Status<-as.numeric(BlackFriday_cluster$Marital_Status)
BlackFriday_cluster$Product_Category_1<-as.numeric(BlackFriday_cluster$Product_Category_1)
BlackFriday_cluster$Product_Category_2<-as.numeric(BlackFriday_cluster$Product_Category_2)
BlackFriday_cluster$Product_Category_3<-as.numeric(BlackFriday_cluster$Product_Category_3)
str(BlackFriday_cluster)
# 'data.frame': 537577 obs. of 27 variables:
# $ Occupation : num 11 11 11 11 17 16 8 8 8 21 ...
# $ Marital_Status : num 1 1 1 1 1 1 2 2 2 2 ...
# $ Product_Category_1 : num 3 1 12 12 8 1 1 1 1 8 ...
# $ Product_Category_2 : num 1 6 1 14 1 2 8 15 16 1 ...
# $ Product_Category_3 : num 1 12 1 1 1 1 15 1 1 1 ...
# $ Purchase : int 8370 15200 1422 1057 7969 15227 19215 15854 15686 7871 ...
# $ Gender_binary : num NA NA NA NA NA NA NA NA NA NA ...
# $ Age_binary : num NA NA NA NA NA NA NA NA NA NA ...
# $ City_Category_numeric : num NA NA NA NA NA NA NA NA NA NA ...
# $ Stay_In_Current_City_Years_numeric: num 2 2 2 2 NA 3 2 2 2 1 ...
# $ GenderF : num 1 1 1 1 0 0 0 0 0 0 ...
# $ GenderM : num 0 0 0 0 1 1 1 1 1 1 ...
# $ Age0.17 : num 1 1 1 1 0 0 0 0 0 0 ...
# $ Age18.25 : num 0 0 0 0 0 0 0 0 0 0 ...
# $ Age26.35 : num 0 0 0 0 0 1 0 0 0 1 ...
# $ Age36.45 : num 0 0 0 0 0 0 0 0 0 0 ...
# $ Age46.50 : num 0 0 0 0 0 0 1 1 1 0 ...
# $ Age51.55 : num 0 0 0 0 0 0 0 0 0 0 ...
# $ Age55. : num 0 0 0 0 1 0 0 0 0 0 ...
# $ City_CategoryA : num 1 1 1 1 0 1 0 0 0 1 ...
# $ City_CategoryB : num 0 0 0 0 0 0 1 1 1 0 ...
# $ City_CategoryC : num 0 0 0 0 1 0 0 0 0 0 ...
# $ Stay_In_Current_City_Years0 : num 0 0 0 0 0 0 0 0 0 0 ...
# $ Stay_In_Current_City_Years1 : num 0 0 0 0 0 0 0 0 0 1 ...
# $ Stay_In_Current_City_Years2 : num 1 1 1 1 0 0 1 1 1 0 ...
# $ Stay_In_Current_City_Years3 : num 0 0 0 0 0 1 0 0 0 0 ...
# $ Stay_In_Current_City_Years4. : num 0 0 0 0 1 0 0 0 0 0 ...
# kmeans 함수를 통해 군집분석을 수행한다.
set.seed(1234)
kmeans_BF<-kmeans(BlackFriday_cluster,3)
kmeans_BF
# K-means clustering with 3 clusters of sizes 119245, 252697, 165635
#
# Cluster means:
# Occupation Marital_Status Product_Category_1 Product_Category_2 Product_Category_3 Purchase GenderF GenderM
# 1 9.312164 1.406566 3.473278 7.398918 6.324022 17055.538 0.2006709 0.7993291
# 2 9.060527 1.411584 5.136032 6.955096 3.749827 9044.255 0.2566077 0.7433923
# 3 8.951363 1.406152 6.850804 7.091376 2.705219 4216.649 0.2621668 0.7378332
# Age0.17 Age18.25 Age26.35 Age36.45 Age46.50 Age51.55 Age55. City_CategoryA City_CategoryB City_CategoryC
# 1 0.02627364 0.1803262 0.3977022 0.2041092 0.08006206 0.07376410 0.03776259 0.2353893 0.4050652 0.3595455
# 2 0.02657728 0.1775526 0.3961108 0.2002952 0.08450832 0.07279469 0.04216117 0.2689545 0.4185883 0.3124572
# 3 0.02932955 0.1887524 0.4055302 0.1964923 0.08225315 0.06295167 0.03469074 0.2934464 0.4371962 0.2693573
# Stay_In_Current_City_Years0 Stay_In_Current_City_Years1 Stay_In_Current_City_Years2 Stay_In_Current_City_Years3
# 1 0.1307225 0.3494822 0.1906914 0.1750094
# 2 0.1364401 0.3514090 0.1841890 0.1735834
# 3 0.1368008 0.3545024 0.1821837 0.1725420
# Stay_In_Current_City_Years4.
# 1 0.1540945
# 2 0.1543786
# 3 0.1539711
#
# Clustering vector:
# 1 2 3 4 5 6 7 8 9 10 11 12 13 14 15 16 17 18 19 20 21 22 23 24
# 2 1 3 3 2 1 1 1 1 2 3 3 3 1 3 3 1 2 2 1 2 2 2 3
# 25 26 27 28 29 30 31 32 33 34 35 36 37 38 39 40 41 42 43 44 45 46 47 48
# 2 1 3 2 3 1 2 3 2 2 3 2 2 2 1 1 2 1 2 1 2 2 2 3
# 49 50 51 52 53 54 55 56 57 58 59 60 61 62 63 64 65 66 67 68 69 70 71 72
# 1 2 1 2 3 1 2 3 1 3 2 3 3 3 3 2 2 2 2 1 2 1 3 2
# 73 74 75 76 77 78 79 80 81 82 83 84 85 86 87 88 89 90 91 92 93 94 95 96
# 3 1 1 1 1 1 1 1 3 2 3 2 3 2 1 2 1 2 2 3 3 2 2 3
# 97 98 99 100 101 102 103 104 105 106 107 108 109 110 111 112 113 114 115 116 117 118 119 120
# 3 3 2 2 2 2 1 2 2 3 2 3 3 2 3 2 1 2 3 1 2 1 1 1
# 121 122 123 124 125 126 127 128 129 130 131 132 133 134 135 136 137 138 139 140 141 142 143 144
# 2 3 3 2 3 2 1 1 1 1 3 3 3 3 3 2 2 3 3 3 1 3 2 2
# 145 146 147 148 149 150 151 152 153 154 155 156 157 158 159 160 161 162 163 164 165 166 167 168
# 2 1 1 3 2 2 2 3 1 2 1 2 2 3 2 2 3 2 3 2 2 1 3 3
# 169 170 171 172 173 174 175 176 177 178 179 180 181 182 183 184 185 186 187 188 189 190 191 192
# 1 3 3 2 3 3 2 3 3 2 3 2 2 2 3 3 1 2 2 2 2 3 3 3
# 193 194 195 196 197 198 199 200 201 202 203 204 205 206 207 208 209 210 211 212 213 214 215 216
# 3 3 3 2 3 2 1 2 2 2 2 2 1 2 2 2 1 2 3 2 1 1 2 1
# 217 218 219 220 221 222 223 224 225 226 227 228 229 230 231 232 233 234 235 236 237 238 239 240
# 1 1 1 2 2 1 3 3 1 3 2 2 1 2 3 3 3 2 1 1 2 2 3 2
# 241 242 243 244 245 246 247 248 249 250 251 252 253 254 255 256 257 258 259 260 261 262 263 264
# 2 1 3 1 3 2 2 3 2 3 3 3 3 3 3 3 3 2 2 3 3 2 2 2
# 265 266 267 268 269 270 271 272 273 274 275 276 277 278 279 280 281 282 283 284 285 286 287 288
# 3 3 1 2 3 2 1 2 3 1 2 2 2 3 3 3 1 2 1 2 2 2 3 3
# 289 290 291 292 293 294 295 296 297 298 299 300 301 302 303 304 305 306 307 308 309 310 311 312
# 3 3 3 2 2 1 1 2 2 3 3 1 1 1 1 2 3 2 1 2 1 1 1 3
# 313 314 315 316 317 318 319 320 321 322 323 324 325 326 327 328 329 330 331 332 333 334 335 336
# 2 1 2 2 1 1 1 3 2 2 3 2 1 2 2 2 2 2 1 2 1 3 3 3
# 337 338 339 340 341 342 343 344 345 346 347 348 349 350 351 352 353 354 355 356 357 358 359 360
# 2 2 3 3 2 3 1 1 2 1 1 2 2 2 2 1 3 2 2 3 3 2 2 2
# 361 362 363 364 365 366 367 368 369 370 371 372 373 374 375 376 377 378 379 380 381 382 383 384
# 2 3 2 3 3 3 3 2 2 2 3 3 1 3 2 1 1 2 1 1 2 2 2 2
# 385 386 387 388 389 390 391 392 393 394 395 396 397 398 399 400 401 402 403 404 405 406 407 408
# 1 3 2 2 3 2 2 3 1 1 1 1 2 1 2 2 2 2 2 2 2 2 2 2
# 409 410 411 412 413 414 415 416 417 418 419 420 421 422 423 424 425 426 427 428 429 430 431 432
# 2 3 2 2 3 2 2 1 1 2 2 1 1 1 2 1 1 2 3 1 1 3 2 2
# 433 434 435 436 437 438 439 440 441 442 443 444 445 446 447 448 449 450 451 452 453 454 455 456
# 2 2 2 1 2 3 2 3 3 3 2 2 2 2 3 2 2 2 1 2 2 2 2 2
# 457 458 459 460 461 462 463 464 465 466 467 468 469 470 471 472 473 474 475 476 477 478 479 480
# 2 1 2 2 2 2 3 3 2 1 3 1 1 3 3 3 2 2 2 2 3 3 2 2
# 481 482 483 484 485 486 487 488 489 490 491 492 493 494 495 496 497 498 499 500 501 502 503 504
# 2 2 1 3 3 2 3 3 3 2 2 3 2 3 2 2 1 3 3 3 3 3 3 3
# 505 506 507 508 509 510 511 512 513 514 515 516 517 518 519 520 521 522 523 524 525 526 527 528
# 3 3 1 3 2 3 2 2 1 1 1 2 2 2 1 2 1 2 2 3 2 3 1 3
# 529 530 531 532 533 534 535 536 537 538 539 540 541 542 543 544 545 546 547 548 549 550 551 552
# 2 2 3 2 2 2 3 2 3 2 2 3 1 2 2 3 2 2 2 1 1 1 1 2
# 553 554 555 556 557 558 559 560 561 562 563 564 565 566 567 568 569 570 571 572 573 574 575 576
# 3 2 3 3 2 3 1 1 1 1 3 2 3 2 2 2 1 2 1 3 3 2 3 3
# 577 578 579 580 581 582 583 584 585 586 587 588 589 590 591 592 593 594 595 596 597 598 599 600
# 1 2 2 2 1 3 1 1 2 2 3 1 1 2 2 2 2 3 2 3 2 1 2 2
# 601 602 603 604 605 606 607 608 609 610 611 612 613 614 615 616 617 618 619 620 621 622 623 624
# 3 3 3 3 3 2 2 1 1 1 2 2 1 2 1 3 2 3 2 3 3 1 1 3
# 625 626 627 628 629 630 631 632 633 634 635 636 637 638 639 640 641 642 643 644 645 646 647 648
# 1 3 3 3 2 3 1 1 1 2 1 1 1 3 1 1 2 2 3 2 2 2 3 1
# 649 650 651 652 653 654 655 656 657 658 659 660 661 662 663 664 665 666 667 668 669 670 671 672
# 1 1 1 2 1 3 1 3 1 3 2 2 1 1 3 1 1 3 3 1 1 1 1 1
# 673 674 675 676 677 678 679 680 681 682 683 684 685 686 687 688 689 690 691 692 693 694 695 696
# 1 1 1 1 2 2 2 2 3 3 3 2 2 2 2 2 3 3 2 2 2 2 2 2
# 697 698 699 700 701 702 703 704 705 706 707 708 709 710 711 712 713 714 715 716 717 718 719 720
# 3 1 3 3 1 1 3 2 3 3 2 3 3 1 2 1 3 2 2 3 3 2 2 1
# 721 722 723 724 725 726 727 728 729 730 731 732 733 734 735 736 737 738 739 740 741 742 743 744
# 1 2 2 2 1 2 1 2 1 2 2 1 2 1 1 2 1 1 1 3 1 1 3 3
# 745 746 747 748 749 750 751 752 753 754 755 756 757 758 759 760 761 762 763 764 765 766 767 768
# 3 3 3 1 2 1 2 1 2 1 3 2 3 1 3 1 2 3 1 2 2 3 2 1
# 769 770 771 772 773 774 775 776 777 778 779 780 781 782 783 784 785 786 787 788 789 790 791 792
# 2 3 2 2 2 1 3 3 2 2 1 2 2 1 2 2 1 2 1 1 1 1 1 2
# 793 794 795 796 797 798 799 800 801 802 803 804 805 806 807 808 809 810 811 812 813 814 815 816
# 1 1 3 3 3 2 2 2 2 2 3 2 2 3 3 3 1 3 3 3 3 1 1 1
# 817 818 819 820 821 822 823 824 825 826 827 828 829 830 831 832 833 834 835 836 837 838 839 840
# 2 2 1 1 2 1 2 3 2 2 1 2 2 1 3 2 2 1 1 2 1 1 2 1
# 841 842 843 844 845 846 847 848 849 850 851 852 853 854 855 856 857 858 859 860 861 862 863 864
# 2 2 2 3 3 2 2 2 3 3 1 2 2 2 2 2 2 3 2 3 2 2 3 2
# 865 866 867 868 869 870 871 872 873 874 875 876 877 878 879 880 881 882 883 884 885 886 887 888
# 2 2 1 2 2 2 1 3 2 2 2 3 3 1 2 2 3 2 1 2 2 3 2 3
# 889 890 891 892 893 894 895 896 897 898 899 900 901 902 903 904 905 906 907 908 909 910 911 912
# 2 3 3 3 2 2 1 2 3 3 2 1 1 2 2 1 2 2 1 1 2 2 3 2
# 913 914 915 916 917 918 919 920 921 922 923 924 925 926 927 928 929 930 931 932 933 934 935 936
# 2 1 2 3 3 3 3 3 3 3 2 2 2 2 1 2 2 2 3 3 3 3 3 3
# 937 938 939 940 941 942 943 944 945 946 947 948 949 950 951 952 953 954 955 956 957 958 959 960
# 3 3 3 2 1 2 1 2 2 1 1 1 1 2 1 2 2 2 2 2 2 2 1 3
# 961 962 963 964 965 966 967 968 969 970 971 972 973 974 975 976 977 978 979 980 981 982 983 984
# 2 3 3 3 3 2 2 3 3 3 2 2 1 3 2 2 2 2 3 3 3 2 3 2
# 985 986 987 988 989 990 991 992 993 994 995 996 997 998 999 1000
# 2 2 2 3 2 1 3 1 1 1 3 1 1 1 1 3
# [ reached getOption("max.print") -- omitted 536577 entries ]
#
# Within cluster sum of squares by cluster:
# [1] 636141159429 810472759392 422633696404
# (between_SS / total_SS = 86.0 %)
#
# Available components:
#
# [1] "cluster" "centers" "totss" "withinss" "tot.withinss" "betweenss" "size" "iter"
# [9] "ifault"
# 해석
# kmeans 함수를 활용해 kmeans clustering을 수행했다. 군집의 수는 3개로 했으며, 각 군집에 119245,252697,165635개로 군집이 묶였다.
# between_SS / total_SS의 값이 86%로 나타나 군집이 잘되었다고 판단할 수 있다.
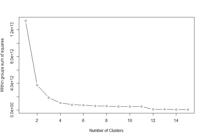
# Sum of square means 그래프를 통해 최적의 군집을 찾는다.
# Sum of square means 그래프로 최적의 군집 찾기
# 최소 군집 2개, 최대 군집 15개
wssplot <- function(data, nc=15, seed=1234){
wss <- (nrow(data) - 1) * sum(apply(data, 2, var)) # 열(column) 단위로 var 연산
for (i in 2:nc){
set.seed(seed)
wss[i] <- sum(kmeans(data, centers=i)$withinss)}
plot(1:nc, wss, type="b", xlab = "Number of Clusters",ylab = "Within groups sum of squares")}
wssplot(BlackFriday_cluster)
# 최적의 군집이 4개로 나타남

# 최적의 군집 개수로 군집의 개수를 변동하여 군집분석을 재수행한다.
# 군집의 개수를 4개로 하여 kmeans를 다시 실시
kmeans_BF_4 <- kmeans(BlackFriday_cluster, 4)
kmeans_BF_4
# K-means clustering with 4 clusters of sizes 109575, 89439, 106191, 232372
#
# Cluster means:
# Occupation Marital_Status Product_Category_1 Product_Category_2 Product_Category_3 Purchase GenderF GenderM Age0.17
# 1 9.326899 1.406042 3.460297 7.532576 6.425453 17380.202 0.1938763 0.8061237 0.02496920
# 2 8.939165 1.403594 7.168260 7.151131 3.032883 3000.617 0.2532452 0.7467548 0.03328526
# 3 9.143760 1.412031 4.351047 6.888559 5.017516 11276.081 0.2371199 0.7628801 0.02745995
# 4 8.994913 1.410622 5.871783 6.962633 2.761155 7089.676 0.2716463 0.7283537 0.02615634
# Age18.25 Age26.35 Age36.45 Age46.50 Age51.55 Age55. City_CategoryA City_CategoryB City_CategoryC
# 1 0.1785352 0.4000639 0.2037965 0.07990874 0.07438741 0.03833904 0.2349167 0.4041433 0.3609400
# 2 0.1978332 0.4060756 0.1910911 0.07978622 0.05884458 0.03308400 0.2981697 0.4345420 0.2672883
# 3 0.1781507 0.3917564 0.2028703 0.08342515 0.07384807 0.04248948 0.2610485 0.4180298 0.3209217
# 4 0.1784165 0.3999320 0.2002565 0.08510061 0.07041296 0.03972510 0.2776066 0.4258387 0.2965547
# Stay_In_Current_City_Years0 Stay_In_Current_City_Years1 Stay_In_Current_City_Years2 Stay_In_Current_City_Years3
# 1 0.1304860 0.3501072 0.1901164 0.1749395
# 2 0.1377587 0.3539731 0.1828844 0.1727099
# 3 0.1356518 0.3535987 0.1836220 0.1711350
# 4 0.1364235 0.3512514 0.1840626 0.1743885
# Stay_In_Current_City_Years4.
# 1 0.1543509
# 2 0.1526739
# 3 0.1559925
# 4 0.1538740
#
# Clustering vector:
# 1 2 3 4 5 6 7 8 9 10 11 12 13 14 15 16 17 18 19 20 21 22 23 24 25
# 4 1 2 2 4 1 1 1 1 4 4 2 4 1 4 2 3 4 3 1 4 3 3 4 3
# 26 27 28 29 30 31 32 33 34 35 36 37 38 39 40 41 42 43 44 45 46 47 48 49 50
# 1 4 4 4 1 4 4 4 3 4 4 3 4 1 1 4 1 4 1 3 3 3 4 1 4
# 51 52 53 54 55 56 57 58 59 60 61 62 63 64 65 66 67 68 69 70 71 72 73 74 75
# 1 4 4 1 3 4 1 4 3 4 2 2 4 4 3 3 4 1 4 1 2 3 2 1 1
# 76 77 78 79 80 81 82 83 84 85 86 87 88 89 90 91 92 93 94 95 96 97 98 99 100
# 1 1 1 1 3 2 4 4 4 4 4 1 3 1 4 3 2 2 4 4 2 2 2 3 4
# 101 102 103 104 105 106 107 108 109 110 111 112 113 114 115 116 117 118 119 120 121 122 123 124 125
# 3 4 1 3 4 4 4 4 2 4 2 3 1 4 4 1 3 1 1 1 3 4 2 4 2
# 126 127 128 129 130 131 132 133 134 135 136 137 138 139 140 141 142 143 144 145 146 147 148 149 150
# 4 1 1 1 1 2 2 4 4 4 3 4 4 4 4 1 2 4 4 3 1 1 2 4 4
# 151 152 153 154 155 156 157 158 159 160 161 162 163 164 165 166 167 168 169 170 171 172 173 174 175
# 4 2 1 4 1 3 3 2 4 4 4 3 2 4 4 1 4 4 1 4 4 4 2 4 4
# 176 177 178 179 180 181 182 183 184 185 186 187 188 189 190 191 192 193 194 195 196 197 198 199 200
# 2 2 4 2 4 4 4 4 4 1 4 3 4 4 4 4 4 2 4 4 3 2 4 1 4
# 201 202 203 204 205 206 207 208 209 210 211 212 213 214 215 216 217 218 219 220 221 222 223 224 225
# 4 4 4 4 1 4 4 4 1 3 2 4 1 1 3 1 1 1 1 4 3 1 4 4 1
# 226 227 228 229 230 231 232 233 234 235 236 237 238 239 240 241 242 243 244 245 246 247 248 249 250
# 4 4 3 1 3 2 2 4 4 1 1 4 4 2 4 3 3 2 1 2 3 4 2 4 2
# 251 252 253 254 255 256 257 258 259 260 261 262 263 264 265 266 267 268 269 270 271 272 273 274 275
# 2 2 2 2 2 4 2 4 4 2 2 4 4 4 2 2 1 3 4 4 1 3 4 1 3
# 276 277 278 279 280 281 282 283 284 285 286 287 288 289 290 291 292 293 294 295 296 297 298 299 300
# 4 4 2 4 4 1 4 1 3 3 3 2 2 2 2 2 3 3 3 1 3 4 4 4 1
# 301 302 303 304 305 306 307 308 309 310 311 312 313 314 315 316 317 318 319 320 321 322 323 324 325
# 1 1 1 4 2 4 1 3 1 1 1 4 3 1 3 3 3 1 1 2 4 3 2 3 1
# 326 327 328 329 330 331 332 333 334 335 336 337 338 339 340 341 342 343 344 345 346 347 348 349 350
# 3 4 3 4 4 1 4 1 4 4 4 3 3 2 2 3 2 1 1 3 3 1 4 4 4
# 351 352 353 354 355 356 357 358 359 360 361 362 363 364 365 366 367 368 369 370 371 372 373 374 375
# 4 1 4 4 3 4 2 4 4 3 4 4 3 4 2 2 2 4 4 4 2 2 1 4 3
# 376 377 378 379 380 381 382 383 384 385 386 387 388 389 390 391 392 393 394 395 396 397 398 399 400
# 1 1 3 1 1 4 4 3 4 1 4 4 3 4 4 4 2 1 3 1 1 3 1 4 4
# 401 402 403 404 405 406 407 408 409 410 411 412 413 414 415 416 417 418 419 420 421 422 423 424 425
# 4 3 4 3 4 3 3 4 4 2 3 4 4 4 4 1 1 3 4 1 1 1 3 3 3
# 426 427 428 429 430 431 432 433 434 435 436 437 438 439 440 441 442 443 444 445 446 447 448 449 450
# 3 4 1 1 2 3 3 3 4 4 1 3 4 4 4 4 2 4 4 4 4 2 4 4 4
# 451 452 453 454 455 456 457 458 459 460 461 462 463 464 465 466 467 468 469 470 471 472 473 474 475
# 1 3 3 4 3 4 4 1 4 4 4 3 4 2 3 1 4 1 1 2 2 2 3 4 4
# 476 477 478 479 480 481 482 483 484 485 486 487 488 489 490 491 492 493 494 495 496 497 498 499 500
# 4 2 4 4 4 4 4 1 2 4 3 4 2 2 3 4 4 4 4 4 4 3 2 2 2
# 501 502 503 504 505 506 507 508 509 510 511 512 513 514 515 516 517 518 519 520 521 522 523 524 525
# 4 4 4 2 2 2 1 2 3 4 4 3 3 1 1 4 3 3 1 4 1 3 3 2 4
# 526 527 528 529 530 531 532 533 534 535 536 537 538 539 540 541 542 543 544 545 546 547 548 549 550
# 2 1 2 4 4 4 4 4 3 4 4 2 3 4 4 1 3 4 2 3 4 3 1 1 1
# 551 552 553 554 555 556 557 558 559 560 561 562 563 564 565 566 567 568 569 570 571 572 573 574 575
# 1 3 2 4 2 2 4 2 1 1 1 1 4 4 2 3 4 4 1 3 1 2 4 3 2
# 576 577 578 579 580 581 582 583 584 585 586 587 588 589 590 591 592 593 594 595 596 597 598 599 600
# 2 1 4 4 4 1 4 3 1 3 3 2 1 1 4 3 4 3 4 4 2 4 1 4 3
# 601 602 603 604 605 606 607 608 609 610 611 612 613 614 615 616 617 618 619 620 621 622 623 624 625
# 4 2 2 2 4 4 3 1 1 1 4 3 1 3 1 4 4 4 4 2 4 1 1 2 1
# 626 627 628 629 630 631 632 633 634 635 636 637 638 639 640 641 642 643 644 645 646 647 648 649 650
# 2 2 4 3 2 1 1 1 3 1 1 1 4 1 1 4 4 2 3 4 4 2 1 1 1
# 651 652 653 654 655 656 657 658 659 660 661 662 663 664 665 666 667 668 669 670 671 672 673 674 675
# 1 3 1 2 1 4 1 4 4 4 1 1 4 1 1 2 2 1 1 1 1 1 1 1 1
# 676 677 678 679 680 681 682 683 684 685 686 687 688 689 690 691 692 693 694 695 696 697 698 699 700
# 1 4 4 4 4 4 4 4 4 4 4 4 4 4 2 4 4 3 4 4 4 2 1 2 2
# 701 702 703 704 705 706 707 708 709 710 711 712 713 714 715 716 717 718 719 720 721 722 723 724 725
# 1 1 2 4 2 2 4 2 2 1 4 1 4 4 4 4 4 4 3 1 1 3 3 4 1
# 726 727 728 729 730 731 732 733 734 735 736 737 738 739 740 741 742 743 744 745 746 747 748 749 750
# 4 1 3 1 4 4 1 3 1 1 4 1 1 1 2 1 1 2 2 2 4 2 1 3 1
# 751 752 753 754 755 756 757 758 759 760 761 762 763 764 765 766 767 768 769 770 771 772 773 774 775
# 4 1 4 1 4 3 2 1 4 1 3 2 1 4 3 2 4 1 4 2 3 3 4 1 2
# 776 777 778 779 780 781 782 783 784 785 786 787 788 789 790 791 792 793 794 795 796 797 798 799 800
# 4 4 4 1 4 4 1 3 4 1 3 1 1 1 1 1 3 1 1 2 2 2 4 4 4
# 801 802 803 804 805 806 807 808 809 810 811 812 813 814 815 816 817 818 819 820 821 822 823 824 825
# 4 4 4 3 4 2 4 4 1 4 4 4 4 1 1 1 3 4 1 1 3 1 4 4 4
# 826 827 828 829 830 831 832 833 834 835 836 837 838 839 840 841 842 843 844 845 846 847 848 849 850
# 3 1 4 4 1 4 4 4 1 1 4 3 1 4 1 3 3 4 4 4 4 3 4 2 4
# 851 852 853 854 855 856 857 858 859 860 861 862 863 864 865 866 867 868 869 870 871 872 873 874 875
# 1 4 4 4 4 4 3 4 4 4 4 4 4 4 4 4 1 4 4 4 1 4 4 4 4
# 876 877 878 879 880 881 882 883 884 885 886 887 888 889 890 891 892 893 894 895 896 897 898 899 900
# 4 2 1 3 3 4 4 1 4 4 4 3 4 4 2 4 4 3 3 3 3 2 4 4 1
# 901 902 903 904 905 906 907 908 909 910 911 912 913 914 915 916 917 918 919 920 921 922 923 924 925
# 1 4 3 1 4 3 3 1 3 4 4 4 3 1 4 2 2 2 2 2 2 2 4 3 3
# 926 927 928 929 930 931 932 933 934 935 936 937 938 939 940 941 942 943 944 945 946 947 948 949 950
# 3 1 4 3 4 2 2 2 2 2 2 2 2 4 3 1 4 1 3 3 1 1 1 1 4
# 951 952 953 954 955 956 957 958 959 960 961 962 963 964 965 966 967 968 969 970 971 972 973 974 975
# 1 4 3 3 4 4 3 3 1 2 3 4 4 4 4 4 4 4 2 4 3 4 1 2 4
# 976 977 978 979 980 981 982 983 984 985 986 987 988 989 990 991 992 993 994 995 996 997 998 999 1000
# 4 4 4 4 4 4 4 4 4 4 4 4 2 4 1 4 1 1 1 2 1 1 1 3 2
# [ reached getOption("max.print") -- omitted 536577 entries ]
#
# Within cluster sum of squares by cluster:
# [1] 493145752071 124258692582 152898770978 314769926422
# (between_SS / total_SS = 91.9 %)
#
# Available components:
#
# [1] "cluster" "centers" "totss" "withinss" "tot.withinss" "betweenss" "size" "iter"
# [9] "ifault"
# 해석
# 군집의 수를 4개로 하여 분석을 실시했으며, 각 군집에 106191, 232372, 109575, 89439개로 군집이 묶였다.
# berween_SS / total_SS의 값이 91.9%로 나타나 군집이 매우 잘되었다고 판단할 수 있다.
# 원본데이터에 분류된 결과를 각 행에 맞게 라벨링하여 clust 변수로 저장하여 csv파일로 출력한다,
kmeans_clust <- kmeans_BF_4$cluster
BlackFriday_full <- cbind(BlackFriday, clust=kmeans_clust)
str(BlackFriday_full)
# 'data.frame': 537577 obs. of 14 variables:
# $ User_ID : chr "1000001" "1000001" "1000001" "1000001" ...
# $ Product_ID : chr "P00069042" "P00248942" "P00087842" "P00085442" ...
# $ Gender : chr "F" "F" "F" "F" ...
# $ Age : chr "0-17" "0-17" "0-17" "0-17" ...
# $ Occupation : Factor w/ 21 levels "0","1","2","3",..: 11 11 11 11 17 16 8 8 8 21 ...
# $ City_Category : chr "A" "A" "A" "A" ...
# $ Stay_In_Current_City_Years: chr "2" "2" "2" "2" ...
# $ Marital_Status : Factor w/ 2 levels "0","1": 1 1 1 1 1 1 2 2 2 2 ...
# $ Product_Category_1 : Factor w/ 18 levels "1","2","3","4",..: 3 1 12 12 8 1 1 1 1 8 ...
# $ Product_Category_2 : Factor w/ 18 levels "0","2","3","4",..: 1 6 1 14 1 2 8 15 16 1 ...
# $ Product_Category_3 : Factor w/ 16 levels "0","3","4","5",..: 1 12 1 1 1 1 15 1 1 1 ...
# $ Purchase : int 8370 15200 1422 1057 7969 15227 19215 15854 15686 7871 ...
# $ product_all : num 3 21 12 26 8 3 26 16 17 8 ...
# $ clust : int 4 1 2 2 4 1 1 1 1 4 ...
# 군집의 개수를 4개로 하여 해당 cluster 분류를 열 결합하여 BlackFriday_full 데이터에 저장했다.
# 그리고 str 함수 구조를 파악해 clust 변수가 추가되었음을 확인하고 write.csv 함수로 해당 데이터를 csv 데이터로 출력했다.
# table 함수를 통해 군집 내 개수를 파악하고 xtabs 함수를 통해 군집별 특성을 파악한다,
table(BlackFriday_full$clust) # 군집내의 수는 2>3>1>4 순으로 많음
# 1 2 3 4
# 109575 89439 106191 232372
#Clust별 Gender 요약
xtabs(BlackFriday_full$clust ~ BlackFriday_full$Gender)
# F M
# 394576 1141938
xtabs(~BlackFriday_full$clust + BlackFriday_full$Gender)
# BlackFriday_full$Gender
# BlackFriday_full$clust F M
# 1 21244 88331
# 2 22650 66789
# 3 25180 81011
# 4 63123 169249
# 해석
# 먼저 clust 개수를 파악하기 위해 table 함수를 사용했다. 2>3>1>4번 군집 순으로 군집이 묶였음을 알 수 있다.
# clust별 Gender를 요약할 때, xtabs 함수를 활용했다. 전체의 성비를 확인한 결과, Female이 3094576이고
# Male이 1141938로 Male이 약 3배 이상 많음을 파악할 수 있다. clust별 Gender를 확인한 결과 모든 clust에서
# Male의 숫자가 높았으며, 비율의 차이가 가장 많이 나는 군집은 3번 군집으로 나타났다.