GAN 이론

Page content

GAN이란?

GAN은 ‘생성적 적대 신경망’의 약자로 풀어서 쓰면, 생성자와 식별자가 서로 경쟁(Adversarial)하며 데이터를 생성(Generative)하는 모델(Network)을 뜻한다.

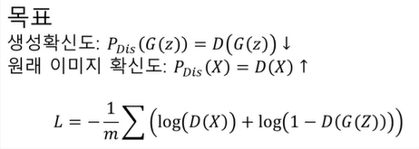
잡음의 이미지로부터 무엇인가를 생성해낸 결과에 대해서 분류기라고 하는 Dis가 G(Z)를 가짜라고
분류함 반면에 원래의 이미지를 받아왔을 때 원래 이미지에 대해서는 Positive하게 반응함
원래 이미지에 대해서는 확률 높게 판단해주고 가짜 이미지에 대해서는 확신도를 아주 낮게 준다.
  1. 잡음 이미지 Z
  2. 생성신경망 통과 Generator
  3. 생성 이미지 획득 G(Z)
  4. 원 이미지 X
  5. 분류기 통과 Discriminator(원래 이미지와 생성기로부터 만들어진 이미지를 동시에 입력받음)
  6. 두 분류 결과 (1:생성이미지 D(G(Z)), 2:원래이미지 D(X)) 1번에 대해서는 가짜, 2번에 대해서는 진짜로 분류하게끔 학습 목표를 제공해주어야 하는 것이 알고리즘의 총흐름도
  7. 이전 6단계 결과에 대한 적대적 학습시행 -> 생성이미지 출신 저하(생성이미지가 가짜다) & 원래이미지 출신 상승(원래이미지에 대한 확률을 높게 평가한다)

Gradient descending 경사하강법을 이용하면 어떤 지점으로 수렴하게 되는 결과를 받아들임 이 함수의 곡선을 가지고 Gradient ascending을 한다고 가정하면 바깥 영역에서 함수들이 굉장히 커지게 되며 그 끝을 알 수 없기 때문에 학습이 엉망으로 진행된다.

Gradient ascending Gradient ascending을 사용하려면 함수가 기본적으로 위로 볼록한 형태가 되어야한다. 함수의 최고점(가장 볼록한 부분)에서 Discriminator가 진짜를 진짜로 분류하고 가짜를 가짜로 분류하게 된다.

생성신경망을 어떻게 loss 함수를 적용해서 트레이닝 시킬 것인가?

generator 부분에서는 식이 +이다 이것을 보았을 때 Discriminator와 generator가 적대적으로 학습한다는 것을 알 수 있다. generator가 잘학습하게 되면 log(1-D(G(Z)))라고 하는 부분이 줄어들게 된다.

Discriminator의 목적은 진짜를 진짜로 가짜를 가짜로 인식하게끔 하는게 목표 generator은 가짜를 진짜로 진짜를 가짜로 표현하게끔 표현하는 것이 목표